While the use of uncontrolled rectifier circuits remains prominent, for some applications, more control and efficiency is necessary. This can be accomplished through the use of a controlled rectifier circuit in which thyristors connected in a full-bridge configuration adjust the average voltage. Each thyristor has a gate that controls when it turns on. With control circuitry these devices can be operated with a controllable firing angle (α) that can vary the average and RMS of output voltage. Devices that use this technology include Uninterruptable Power Supplies (UPS), low-power DC motor drives [1], as well as cyclo-converter.
This investigation into the harmonic distortion begins with a Fourier analysis of the fundamental component ofthe input current. Figure 1 shows a simplified schematic of the controlled rectifier circuit. In it four thyristors are connected in a full bridge configuration with an AC inputand a resistive load output. The firing angle (α) of the thyristors can be controlled through their gates to chop the input current on the positive and negative cycles.


Using Figure 2, which shows the input current waveform, the Fourier series component can be expressed as:

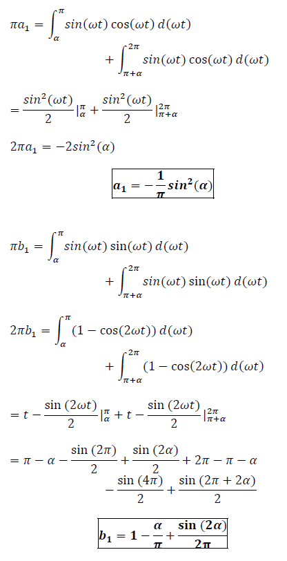
Since in determining the THD this analysis is only concerned with the fundamental component (n = 1), the above equations must only be used for n equal to one. The derivation of a1 and b1 is summarized below.
Since both a1 and b1 are magnitudes and at the same frequency they must be changes to RMS values and their geometric mean must be calculated.
A summary of the theoretical THD at different firing concerned with the fundamental component (n = 1), the angles (α) is shown in Table 1 of Section IV.
If you have any requirements or any kind of query regarding the UPS solutions for your applications, feel free to communicate with our dedicated team at any time at marketing@everexceed.com.
categories
recent posts
scan to wechat:everexceed
