inductance are as follows:
|
NO.
|
Name
|
Significance
|
| 1 |
Inductance L
|
The larger the L, the stronger the energy storage capacity, the smaller the ripple, and the smaller the required filtering capacitance. However, the larger L, the larger the inductance size is usually required, resulting in an increase in DCR and a decrease in DC-DC efficiency, which in turn increases the cost of inductance.
|
| 2 |
Self
harmonic
frequency
f0
|
Due to the presence of parasitic capacitance in the inductor, there exists a self resonant frequency. Beyond this f0, inductance exhibits capacitance effect, while below this f0, inductance exhibits inductance effect (impedance increases with frequency).
|
| 3 |
DC
resistance
DCR
|
The total DC resistance of the enameled wire used between the product electrodes. According to W=I2R, DCR can cause energy loss, reduce DC-DC efficiency, and is also the main cause of inductance heating.
|
| 4 |
AC resistor
RAC
|
The resistance value of an inductor at a specified frequency, mainly composed of the DC resistance of the inductor coil (skin effect under AC), magnetic core loss, and dielectric loss. The larger the RAC, the higher the Q value.
|
| 5 |
Saturation
current Isat
|
Usually refers to the DC current value corresponding to a 30% decrease in inductance.
|
Calculate the minimum inductance and consider dividing the DC-DC conversion circuit into Buck circuit and Boost circuit.
wherein:
Table 2 Parameter Significance
|
Name
|
Significance
|
|
Vin
|
Input Voltage
|
|
Vout
|
Output voltage
|
|
Fs
|
switching frequency
|
|
ΔI
|
Inductive peak current
|
For inductors with an accuracy of 20%, if the designed margin is 5%, the required inductance value to be designed is:
L = (1+20%+5%)*Lmin
Taking the Boost circuit as an example, with an input voltage of 4.2V, a switching frequency of 1.2MHz, an output current of 500mA, and an output voltage of 5V, the required inductance is:
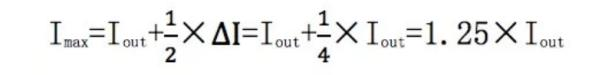
So: L=2.24 μ H × 1.25=2.8 μ H. Compared to 2.8 μ The nominal inductance for slightly larger H is 3.3 μ H. So the external inductance of DC-DC is selected as 3.3 μ H inductance.
Confirm that the saturation current Isat of the selected inductor should be greater than Imax, and the temperature rise current should be greater than the output current. Current requirements:
tags :
categories
recent posts
scan to wechat:everexceed
